Problem Set 1






Conditional Distribution of a Random Variable
It describes how the distribution of a random variable changes when we are given additional information (i.e., when an event has occurred).








Problem Set 2
Functions of One Random Variable
Distribution of
Monotonic transformations (either increasing or decreasing.. going in one direction)
Non-monotonic transformations
Distribution of
Method using CDF
Method using PDF (Jacobian technique)
Piecewise transformations

🔹 Problem 2 – Non-Monotonic Transformation
Let
Find the PDF of
To find the probability density function (PDF) of where
, we can use the method of transformations (the Cumulative Distribution Function method).
1. Identify the distribution of 
The PDF of is given by:
2. Determine the range of 
Since takes values in the interval
, the variable
takes values in the interval
.
3. Cumulative Distribution Function (CDF) Method
For , the CDF of
is:
Since ,
is equivalent to
. Thus:
Integrating the PDF of over this interval:
4. Find the PDF of 
The PDF is the derivative of the CDF with respect to
:
Final Result
The PDF of is:




Problem Set 3
Mean and variance of transformed variables
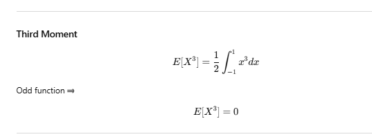
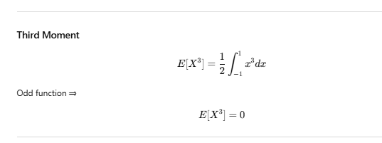
Moments (raw and central)
Even/odd moment properties
Moment calculation via PDF
Use of symmetry
Relation between moments and variance









Practice Set 4
Joint distribution functions
Joint PDF and marginal densities
Independence of random variables
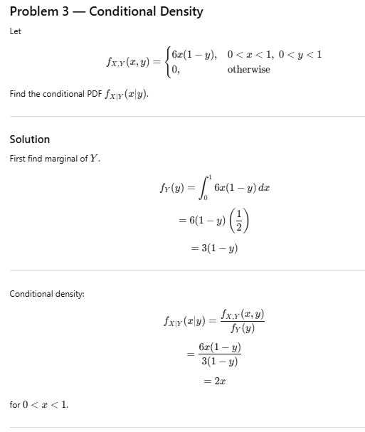
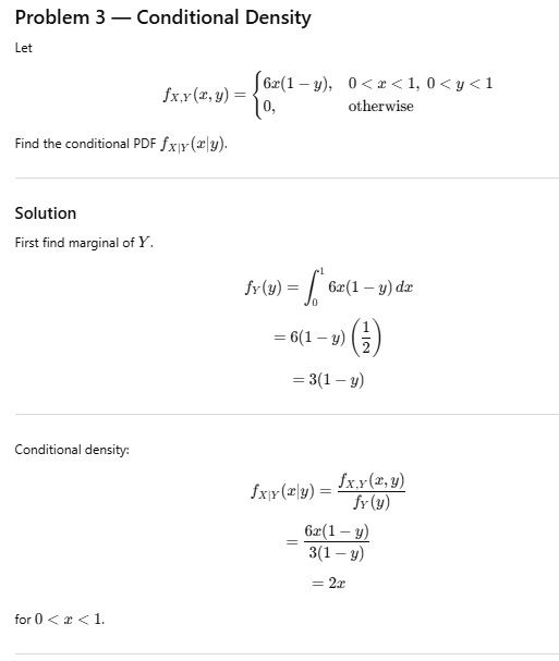
Conditional densities
Expectation of functions of two variables
Covariance and correlation








Problem Set 4
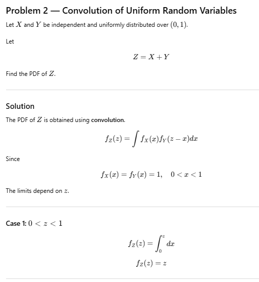
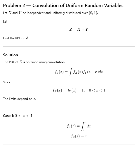
- Distribution of the sum of random variables
- Convolution of PDFs
- Sum of independent random variables
- Sum of uniform variables
- Sum of exponential variables
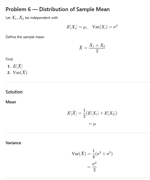
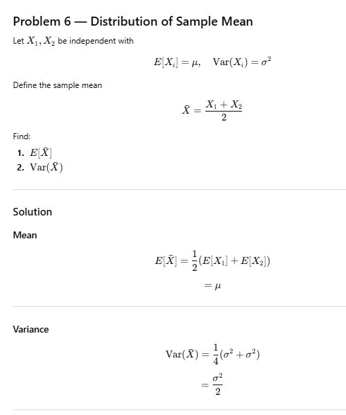
- Mean and variance of sums
- Linear combinations of random variables










Hypothesis Testing Problems





